近日,海洋科学学院物理海洋与数值模拟研究所董昌明教授团队在人工智能波浪预报研究方面取得新进展,相关论文《A PINN-based wave model for prediction of wave period and wavelength using dispersion relation》已在《Ocean Engineering》期刊正式发表。论文第一作者为我院王锦副教授,合作者包括韩磊博士生和杨刚老师,通讯作者为董昌明教授。
灾害性海浪常导致重大经济损失与人员伤亡,实现准确、快速的海浪预报对保障船舶在灾害天气下的避险、停泊与作业安全具有重要意义。本研究创新性地提出了一种融合波浪频散关系与长短期记忆网络(LSTM)的波浪预报模型(LSTM-DR),实现对波长和周期的高精度同步预测。该模型在损失函数中引入了波长误差、周期误差和基于频散关系的物理约束项,通过优化权重配置,在保持物理一致性的同时显著提升了预报性能。对比分析表明,该模型在近岸区域表现卓越,具有更高的相关系数、更低的均方根误差和平均绝对百分比误差。其优势源于专门针对近岸波浪随机性设计的物理约束架构,有效提高了预报精度,且预报优势随时效延长愈加显著。
该研究的核心创新在于将波浪频散关系这一物理机制嵌入模型之中,克服了传统LSTM方法在短时序数据建模中的局限性。通过物理约束抑制过拟合,模型在保证预测结果符合物理规律的同时,展现出优异的泛化能力,对数据稀缺条件下的业务化预报具有关键意义。本研究得到了国家重点研发计划项目(海浪-风暴潮数值模式及综合预警报技术)的大力支持。

图1LSTM-DR模型计算流程图
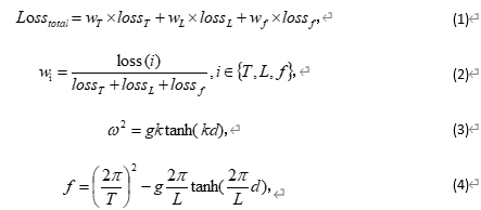
损失函数的计算方法:


Fig. 10模型预报结果时间序列对比图(输入历史数据长度为3个月)
作者简介
本文第一作者王锦,为海洋科学学院副教授,博士毕业于南京水利科学研究院,主要从事波浪数值模拟及智能预报方面的研究,主持国家自然科学基金面上项目1项、省部级项目1项,骨干身份参与多个国家级项目和省部级项目。在《Deep Sea Research》,《Ocean modelling》,《Ocean Engineering》等国际著名期刊发表SCI论文多篇。
